TU ANUNCIO / YOUR PUBLICITY

AQUÍ PODRÍA ESTAR TU ANUNCIO: / HERE COULD BE YOUR AD E-mail

sábado, 30 de noviembre de 2024

NÚMEROS ABC (Operador ֎) Existirá una derivada ¿?. Sí.

     (Operador ֎) LA DERIVADA

2D:

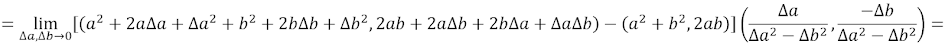
El primer reto es averiguar el valor de:  

Se empezará con funciones simples como por ejemplo f(a, b) = (a, b)2.



Eliminando Las multiplicaciones de dos incrementos y realizando la resta del los números ABC del numerador:


Realizando la división del incremento (o la multiplicación del inverso, que es lo que está indicado):


Eliminado los sumandos que se anulan:

De la misma forma:

d(a, b)3/d(a,b)= (3a2+6ab, 3b2+6ab)

d(a, b)4/d(a,b)= (4a3+12ab2, 4b3+12a2b)

Donde ya se va observando el patrón.

Se puede comprobar, por ejemplo, que si a=x y b=2x en la fórmula de la derivada del exponente 4:

d(a, b)4/d(a,b)= (4x3+12x(2x)2, 4(2x)3+12x2(2x)) = 108 x3.

Por otro lado, dz4/dz = 4z3. Si z=3x, entonces 4(3x)3 = 108x3 . c.q.d.

Con paciencia se terminará esta parte, se aumentará a más dimensiones y se ampliará a otras funciones aprovechado las similitudes con series de Taylor. Y, por supuesto, se llegará al concepto integral con números ABC.








viernes, 22 de noviembre de 2024

NÚMEROS ABC (Operador ֎) Nuevo operador de vectores. La función exponencial y logarítmica

    (Operador ֎) LA FUNCIÓN EXPONENCIAL Y LOGARÍTMICA

2D:

El primer reto es averiguar el valor de, por ejemplo, 2(a,b) = (c,d).

Primero se recuerda el desarrollo de Taylor de otras funciones conocidas:

ex = 1 + x + x2/2! + x3/3!+… xn/n!

ch(x) = 1 + x2/2! + x4/4!+… xpar/par!

sh(x) = x/1! + x3/3!+… ximpar/impar!


Otras propiedades del los números ABC son:

(a, b) = (a, 0) + (0, b)

(a, 0)n = (an,0)

(0, b)2 = (b2, 0), (0, b)3 = (0, b3), (0, b)4 = (b4, 0),… (0, b)impar = (0, bimpar), (0, b)par = (bpar, 0)


Y como :

2(a,b) = 2(a,0) · 2(0,b)

Se concluye:

2(a,b) = ea·ln(2)(ch(b ln(2)), sh(b ln(2)) 

Para el caso más simple de la exponencial de "e":

e(a,b) = ea(ch(b), sh(b)).

Este recuerdo "parecido" a los números complejos dará que pensar.

En este caso hallar la función logaritmo partiendo de la función exponencial anterior es "sencilla" y su resultado es:

ln(a, b) = (ln((a2 – b2)1/2), ath(b/a))

Gracias a los logaritmos es sencillo hallar un cálculo a un exponente cualquiera:

(a, b)p = exp((1/p) · ln(a, b)) 

NOTA: Con este sistema tiene que cumplirse que b sea mayor que a para poder huir del cálculo complejo. Más adelante, con tiempo se verá la conexión del mundo real del los números ABC con la parte imaginaria del conjunto C y, a su vez la parte imaginaria del conjunto ABC con la parte real del conjunto C.

Por otro lado, se analizarán lo que sucede con número ABC de 3D y más.


3D:

Para el caso: e(a,b,c) = ea(tni(b), tnj(b), tnk(c)).

Donde las funciones tni, tnj y tnk son descritas en:

https://carreteras-laser-escaner.blogspot.com/2014/11/tunaritmos-changeless-tirhd-derivative.html

      Tni(x) = 1 + x³/3! + x⁶/6! + x⁹/9! + ... + x³n/(3n)!
      Tnj(x) = x2/2! + x5/5! + x8/8! + ... + x³n+2/(3n+2)!
      Tnk(x) = x/1! + x4/4! + x7/7! + x10/10!+ ... +x³n+1/(3n+1)!


4D:

Para el caso: e(a,b,c,d) = ea(p(b), q(b), r(c), s(d)).

 Donde:

p(x) = 1 + x4/4! + x8/8! + x12/12! + ... + x4n/(4n)! = (ch(x)+ch(-x))/2
q(x) = x1/1! + x5/5! + x9/9! + ... + x4n+1/(4n+1)!    =(sh(x)+ sh(-x))/2
r(x) = x2/2! + x6/6! + x10/10! + ... +x4n+2/(4n+2)!   =(ch(x)-ch(-x))/2
s(x) = x3/3! + x7/7! + x11/11! + ... +x4n+3/(4n+3)!   =(sh(x)-sh(-x))/2



NOTA: Para más dimensiones habría que ir troceando de igual manera el desarrollo de Taylor de la función exponencial.

NOTA 2: La simplicidad de la solución de la exponencial es debida a la facilidad de separar el exponente como suma de exponentes: 2(a,b) = 2(a,0) · 2(0,b). Sin embargo para la función potencial el camino es tedioso para el caso de (a, b, c…) n . Difícil cuando n no sea entero sino fraccionario o real y muy complicado para (a, b, c…) (p, q, r, ...) . Además, nadie dice que (a, b, c…) tenga que tener la misma dimensión que (p, q, r, ...) ni cual debe de ser la dimensión del destino.

NOTA 3: La función logarítmica de 3D, 4D, etc es un poco más complicada y exige la creación de nuevas funciones. Ya habrá tiempo de hablar de ello.

lunes, 4 de noviembre de 2024

NÚMEROS ABC (Operador ֎) Nuevo operador de vectores. El cero y el concepto de recorrido. Y bucles.

   (Operador ֎) CEROS, CONCEPTO DE RECORRIDO Y BUCLES.

CEROS:

El concepto cero es, en principio, bastante simple. Sería el elemento neutro frente a la suma.

En este tipo de números sería el (0,0,...). Se demuestra fácilmente:

(2,3)+(0,0)= (3,2) . Ejemplo simple.

Se define como Ω un tipo de número ABC en el que la suma de sus elementos sea nula. Por ejemplo: 

x = (1, 2, -3). Se puede demostrar fácilmente que x-1 no existe. Por tanto x  Ω.

También podría definirse a la inversa Si dado un número x ∈ ABC,  si x-1 → x es del tipo Ω y la suma de todos sus elementos ∑xi = 0. (x= (x1, x2, ...).

Como es obvio,  0  Ω.


RECORRIDO DE UN NÚMERO ABC:

Se define como recorrido de un número ABC a la concatenación de los elementos de éste.

Se muestra mejor un ejemplo. Sea (1, 3, -2, 5, -2) se podría representar como:

Es lógico que acabe en el número 5 ya que 1+3-2+5-2=5.

Si se une este concepto con el anterior está claro que un número ABC de tipo Ω es el que acaba donde empezó.

Los pasos siguientes serán los destinados a encontrar el uso de este concepto en el campo matemático y físico.

BUCLES:

Se define como bucle ABC al número ABC compuesto, a su vez de números ABC. Mejor con un ejemplo:

(1, 2, 3) ∈ ABC,

((3, -2), (1, 1), (4,-1)) ∈ ABC

(((1, 1, 1), (2,-2,-2)), ((4,-3, 0), (3, 0, -2)), ((1, 2, 1), (1, 1, -3))) ∈ ABC

etc. 

Más adelante se verá su utilidad como análisis de fractales.
 


jueves, 24 de octubre de 2024

NÚMEROS ABC (Operador ֎) Nuevo operador de vectores. Resumen.

  (Operador ֎) RESUMEN.

DEFINICIÓN:

Buscando un nuevo operador de matrices de dimensiones 1xN cuyo resultado sea también una matriz 1xN (o vector) que tuviera un elemento neutro, propiedad conmutativa e inversa se encuentran varias posibilidades según sea el valor de N.

Para el caso 2D se encuentra: (A, B) ֎ (a, b) = (Aa+Bb, Ab+Ba)

En neutro sería (1,0) y el inverso, (a, b) ֎ (A, B) = (1, 0)  A=a/(a2-b2), B=-b/(a2-b2)

Para el caso 3D, se encuentran 4 soluciones posibles (ver entrada Nuevos operadores de vectores) de la que se escoge una de ellas que, además, servirá de punto de partida para definiciones de l operador para todos los valores de N:


PROPIEDAD CONMUTATIVA:

Como ya se viera, el operador "֎" definido como se ha hecho en el apartado anterior tiene la propiedad conmutativa: (A, B, C, ..) ֎ (a, b, c, ..) = (a, b, c, ..) ֎ (A, B, C, ..)

ELEMENTO NEUTRO:

Resulta ser (1, 0, 0, ..)

EFECTO ROTACIONAL:

Véase "Números ABC.. Nuevos operadores de vectores (Giros y perpendicular)"

POLINOMIOS:

Se puede definir una potencia de un número ABC como (a, b)2 = (a, b) ֍ (a, b) = (a2+b2, 2ab). En el caso 2D

Propiedad interesante:

De igual manera se demuestra:  si   (a, b, c, … )n = (p, q, r, …) → (a + b + c + … )n = (p + q + r + …)

Véase "(Operador ֎) Nuevas operadores vectorales (potencias y polinomios)"

FUNCIONES:

Por lo dicho anteriormente si se puede definir una potencia de un número ABC, para una función continua y derivable del mundo real que sea transformable en una serie de Taylor como por ejemplo F(x)=seno(x), se podría generalizar de la forma F(a, b, c, .. ) = seno(a, b, c, .. ) = (A, B, C, ..).

Seno(-0.5, 0.3) = (-0.458.., 0.259..),, Lógicamente seno(-0.5+0.3) = seno(0.2) = -0,198.. (= -0.458.. + 0.259..)

INVERSA:

Lógicamente si existe el neutro, se define como inversa a (a, b, c, ..)-1 = (A, B, C, ..) (a, b, c, ..) ֎ (A, B, C, ..) = (1, 0, 0, ..)

La forma de calcularla se explica en "Números ABC.. Nuevos operadores de vectores. La inversa". 

RAÍCES:

Más compleja resulta la resolución de raíces que puede ser directa con una resolución de ecuaciones de grado 2 o por un método indirecto basado en series de funciones como se explica en "NÚMEROS ABC (Operador ֎) Nuevos operadores de vectores. Raíces"

El dicho apartado se calcularía √(3, 2, 1) = (1.6636..., 0.5891..., 0.1957...)

Obsérvese que 6=2.4485...

CONCLUSIÓN:

Operar con un número ABC es equiparable a operar con un número real normal cambiando la operación "·" por "֎" aunque un poco más tedioso. Faltará ver como se comporta con el cálculo complejo, diferencial,...

martes, 22 de octubre de 2024

NÚMEROS ABC (Operador ֎) Nuevos operadores de vectores. Raíces

 (Operador ֎)

RAICES CUADRADAS

Para el caso de 2D la solución es sencilla:

(x, y)2 = (x, y) ֍ (x, y) = (x2+y2, 2xy) = (a, b)

Se trata tan sólo de despejar x e y:

Hay dos soluciones que serán indistintas para x ó y.

Para el caso 3D, El camino será sorprendente.

La complejidad numérica aumenta al intentar despejar x, y y z en:

(x, y, z)2 = (a, b, c)

Se hará un truco, utilizar una serie de Taylor o similar.

La primera es la propia serie de la raíz cuadrada:

Pero el acompañamiento del +1 complica la situación.

Por otro lado se sabe que: 



Éste desarrollo del logaritmo aparte de tener el inconveniente del "+1" está limitado para ciertos valores de x (al igual que el de la raíz). Se preferirá usar el siguiente desarrollo:


Pero... mejor se ve con un ejemplo. Se calculará : 
Para utilizar la parte de (x2-1)/(x2+1)


Ahora viene el cálculo del ln(3, 2, 1):


Ya está resuelto. ln(3, 2, 1) =  (0.96320919, 0.71620294, 0.11160316)
Y ln(3, 2, 1)/2 = (0.481604597, 0.358101472, 0.055801578)
Ahora se acomete el cálculo de exp(ln(3, 2, 1)/2):


Y ya se llega al final concluyendo:

√(3, 2, 1) = (1.6636..., 0.5891..., 0.1957...)

O, lo es lo mismo:

(1.6636..., 0.5891..., 0.1957...)2 = (3, 2, 1)


Por supuesto 1.6636..+ 0.5891.. + 0.1957.. = 2.4485.. y, 2.4485= 6 (3+2+1)

NOTA: ESTE MISMO PROCEDIMIENTO ES VÁLIDO PARA 4D, 5D ... Y RAÍCES CÚBICAS, CUARTAS, ETC.

Continuará...

Numeros ABC.. Nuevos operadores de vectores. La inversa

 (Operador ֎)

LA INVERSA

Hasta aquí se ha explicado como funciona este operador y la existencia de un neutro por lo que es lógico pensar en la existencia de su inversa. Es decir, aquel (A, B, C..) que satisfaga:

(a, b, c,...) ֎ (A, B, C,...) = (1, 0, 0, ...)

La forma de encontrarla es realmente sencilla si se parte en su equivalencia con el cálculo matricial ya explicada en entradas anteriores: (para no escribir de más se explicara el caso 3D)


El siguiente paso es calcular la inversa:
Donde D es el determinante (en este caso D =a+ b+ c- 3abc)

En cualquier dimensión el proceso es el mismo.
El caso más simple es para 2D:

(a, b) ֎ (A, B) = (1, 0)  A=a/(a2-b2), B=-b/(a2-b2)

A partir de 4D el cálculo es más tedioso pero no imposible.

Continuará...













domingo, 13 de octubre de 2024

(Operador ֎) Nuevas operadores vectorales (potencias y polinomios)

(Operador ֎)

Las potencias (multiplicadores repetitivos) para 2D (caso más sencillo) se solucionarían de la siguiente forma:

(a, b)2 = (a, b) ֍ (a, b) = (a2+b2, 2ab)

Se demuestra fácilmente que (a + b)2 =  a2+b2 + 2ab)

De igual manera se demuestra:  si   (a, b, c, … )n = (p, q, r, …) → (a + b + c + … )n = (p + q + r + …)

Por lo tanto, para una función continua y derivable del mundo real que sea transformable en una serie de Taylor se podría generalizar de la forma:

Sea una función F(x+y) = z . Esto equivale a decir, F((x,y))=(z1,z2) donde z1+z2=z

Un forma de verlo sería con un ejemplo:

F(x) = seno(x) = x - x/ 3! + x/ 5! - x/ 7! ...

S ha realizado una tabla 


Explicación de la tabla: 
Primera columna: potencias: 1, 2, 3, ...
Las siguientes cuatro tablas son el doblete de valores que facilitan el operador de potencia frente al operador "֍" cuyo resultado está en las dos columnas siguientes Como x=0.2 en el ejemplo se opta por el valor del vector (-0.5, 0.3) ya que su suma es precisamente -0.2
La séptima son simplemente los valores del factorial que aparece en el denominador de la serie de Taylor
La siguiente columna son los distintos coeficientes de la serie para el caso real de valor x=-0.2 en el ejemplo

Las siguientes dos columnas son los resultados del vector elevado a su potencia correspondiente por el factor de la serie Taylor. 

En la siguiente columna se van comprobando cono la suma de los elementos del vector dan el mismo valor que la componente equivalente real.

Hasta aquí se han comprobado dos cosas.

La primera: que cualquier función real se puede trasladar a un sistema vectorial de cualquier dimensión (más adelante se comprobará que no será siempre posible a la inversa)

La segunda, Una especia de propiedad distributiva desde las variables de la función:

 F(x) = y, donde x = x1+x2+x3+…

↔ F(x1+x2+x3+…) = y   

↔ F(x1, x2, x3,…) = (y1, y2, y3,…) ↔ 

↔ y = y1+y2+y3+…


Se abre todo un campo ya que para un x dado, el número de (x1, x2, x3,…)  que cumplen x = x1+x2+x3+… es infinito en valores y, ... en dimensiones.

Continuará...






sábado, 12 de octubre de 2024

Números ABC.. Nuevos operadores de vectores (Giros y perpendicular)

(Operador ֎)

 Por lo vistoso se va a mostrar el efecto en vectores 3D.

Al multiplicar el vector (a,b,c) ֎ (1,0,0) queda (a,b,c), trivial ya que es el elemento neutro.

Al multiplicar el vector (a,b,c) ֎ (0,1,0) queda (c,a,b,), cambio de ejes.

Al multiplicar el vector (a,b,c) ֎ (0,0,) queda (b,c,a), el otro cabio de ejes.

El siguiente paso es como variar progresivamente de (1,0,0) a (0,1,0). Se va a imponer una condición más y es que el módulo del vector resultante sea el mismo que el original:

(a,b,c) ֎ (u,v,0)=(au+cv, bu+av, cu+bv)

Igualando los módulos, antes y después (y conservando el cuadrado para no meterse en raíces):

 a2+b2+c= (au+cv)+ (bu+av)+ (cu+bv)2

Las condiciones que se deben cumplir son:

u+ v= 1

c = -ab / (a+b)

La primera condición (u2+v= 1) se cumple con las funciones seno y coseno.

Para visualizarlo se muestra el siguiente ejemplo:


Se representa la operación (1,2,-1) ֎ (sen(α),cos(α),0). También se ha representado el perpendicular. Éste último no tiene más misterio ya que se obtiene de un producto vectorial.

miércoles, 9 de octubre de 2024

Números ABC.. Nuevos operadores de vectores (4x4) y más

(Operador ֎)

 Siguiendo con la entrada anterior para 4 y más dimensiones la cantidad de posibles operadores se incrementa en forma exponencial, incluso si sólo se tienen en cuenta aquellos que permiten las propiedades distributivas y elementos neutros.

El más simple de los operadores es el que tiene una equivalencia con una multiplicación con matriz del tipo:


El aumento de dimensiones con el mismo sistema es banal.

Otro tipo de operador aplicando supersimetría sería:


Este operador dará futuras alegrías. Pero no ahora.

Continuará...






lunes, 16 de septiembre de 2024

Números ABC.. Nuevos operadores de vectores.

 Una pregunta sería si existe alguna operación entre vectores aparte de las conocidas.

Si se empezara, por ejemplo con tres dimensiones podríamos inventar tres (o cuatro según se mire). En teoría habría más posibilidades pero serían simples variaciones de orden. (usaremos el símbolo "֎")

1: (A, B, C) ֎ (c, a, b) = (Aa+Bc+Cb, Ab+Ba+Cc, Ac+Bb+Ca)

2: (A, B, C) ֎ (c, a, b) = (Aa+Bb+Cc, Ac+Ba+Cb, Ab+Bc+Ca)

3: (A, B, C) ֎ (c, a, b) = (Aa+Bb+Cc, Ab+Bc+Ca, Ac+Ba+Cb)

4: (A, B, C) ֎ (c, a, b) = (Aa+Bc+Cb, Ac+Bb+Ca, Ab+Ba+Cc)

El caso 1: Si se cambia el orden de los operandos resulta la misma solución. Es simétrica.
El caso 2. Si se cambia el orden de los operandos resulta el caso 3 y viceversa.
El caso 4: Al igual que en el caso 1, resulta un operador simétrico.

Solo en el caso 1 hay posibilidad de tener un elemento neutro. El (1, 0, 0)´

Se podría visualizar la operación con multiplicaciones de matrices si el segundo operando se transformara en una matriz con ciertas simetrías:



Esto ayudará a la hora de definir el operador para más dimensiones.
Dejo al lector la demostración de que también se puede aplicar la propiedad distributiva con respecto a la suma.
Se tendrían pues, al igual que en caso de los vectores la operación con los vectores (1, 0, 0), (0,1,0) y (0,0,1) para entender su significado.

(a, b, c) ֎ (1, 0, 0) = (a, b, c) 
(a, b, c) ֎ (0, 1, 0) = (c, a, b) 
(a, b, c) ֎ (0, 0, 1) = (b, c, a) 

Con lo que sale la matriz equivalente al operador. Como no podría ser de otra manera.
Para 4 dimensiones resulta más complicado ver las posibilidades.

Continuará....